Aplicación de la ley de Charles (4013)

, por F_y_Q

Si un salón se encuentra a una presión de 1 atmósfera y el aire que contiene ocupa un volumen de 4.82\  m^3 a 32 ^oC. ¿Cuál será la temperatura en K del mismo salón cuando el aire ocupe un volumen de 3.15\  m^3? Debes suponer que la presión en el salón es constante.

P.-S.

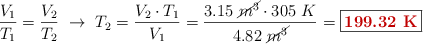
Al ser constante la presión, debemos considerar la ley de Charles para poder determinar cómo variará la temperatura con el volumen:

\frac{V_1}{T_1} = \frac{V_2}{T_2}\ \to\ T_2 = \frac{V_2\cdot T_1}{V_1} = \frac{3.15\ \cancel{m^3}\cdot 305\ K}{4.82\ \cancel{m^3}} = \fbox{\color[RGB]{192,0,0}{\bf 199.32\ K}}


Recuerda que es imprescindible que la temperatura esté expresada en escala absoluta.