Cálculo de la constante de equilibrio de una neutralización (4822)

, por F_y_Q

Calcula la constante de equilibrio que se obtiene en una neutralización al mezclar 20 mililitros de una solución de 0.3 molar de hidróxido de calcio con 10 mililitros de solución 0.25 molar de ácido fosfórico. Supón que los volúmenes son aditivos.

P.-S.

Si la neutralización es completa, la constante de equilibrio tendría que ser muy alta porque uno de los reactivos alcanzaría una concentración en el equilirio de cero o extremadamente pequeña, pudiendo considerarse «cuasiinfinita». De todos modos, supones que quieres obtener el valor de la constante de equilibrio y, para ello, consideras en la expresión final solo las concentraciones en el equilibrio de la especie de mayor concentración. Se trata, por lo tanto, de un ejercicio teórico que solo trata de ilustrar cómo se haría ese supuesto cálculo.

En primer lugar, escribes la ecuación de neutralización que tiene lugar:

\color[RGB]{2,112,20}{\textbf{\ce{2H3PO4(ac) + 3Ca(OH)2(ac) -> Ca3(PO4)2(ac) + 6H2O(l)}}}

Los moles iniciales de cada sustancia los obtienes a partir de los datos de concentración y volumen de cada una que reaccionan:

2\cdot 10^{-2}\ \cancel{L}\cdot 0.3\ \frac{\text{mol}\ \cancel{\ce{Ca(OH)2}}}{1\ \cancel{L}}\cdot \frac{2\ \ce{OH-}}{1\ \cancel{\ce{Ca(OH)2}}} = \color[RGB]{0,112,192}{\bm{1.2\cdot 10^{-2}\ \textbf{mol \ce{OH-}}}}
10^{-2}\ \cancel{L}\cdot 0.25\ \frac{\text{mol}\ \cancel{\ce{H3PO4}}}{1\ \cancel{L}}\cdot \frac{3\ \ce{H+}}{1\ \cancel{\ce{H3PO4}}} = \color[RGB]{0,112,192}{\bm{7.5\cdot 10^{-3}\ \textbf{mol \ce{H+}}}}

Si aplicas la estequiometría de la reacción, y tienes en cuenta que el reactivo limitante es el \ce{H3PO4}, tendrás los siguientes moles en el equilibrio:

n_{\ce{Ca(OH)2}} = \color[RGB]{0,112,192}{\bm{4.5\cdot 10^{-3}\ mol}}
n_{\ce{Ca3(PO4)2}} = \color[RGB]{0,112,192}{\bm{3.75\cdot 10^{-3}\ mol}}
El agua no la tienes en cuenta para la constante de equilibrio por ser un líquido puro.

La constante de equilibrio del proceso es:

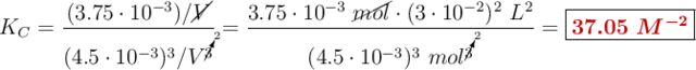
K_C = \frac{[\ce{Ca3(PO4)2}]}{\cancel{[\ce{H3PO4}]^2}\cdot [\ce{Ca(OH)2}]^3}\ \to\ \color[RGB]{2,112,20}{\bm{K_C = \frac{[{\ce{Ca3(PO4)2}}]}{{\ce{[Ca(OH)2}}]^3}}}

Debes tener en cuenta que no habrá ácido en el equilibrio por haber sido neutralizado por el exceso de base, obviando la concentración de ácido tal y como se indicó al inicio de la resolución. Puedes escribir la expresión anterior en función del volumen total y hacer los cálculos:

K_C = \frac{(3.75\cdot 10^{-3})/\cancel{V}}{(4.5\cdot 10^{-3})^3/V^\cancelto{2}{3}}} = \frac{3.75\cdot 10^{-3}\ \cancel{mol}\cdot (3\cdot 10^{-2})^2\ L^2}{(4.5\cdot 10^{-3})^3\ mol^\cancelto{2}{3}}} = \fbox{\color[RGB]{192,0,0}{\bm{37.05\ M^{-2}}}}