Calor a volumen constante de una combustión 0001

, por F_y_Q

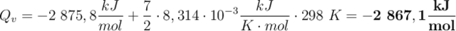
El calor a presión constante de la combustión del butano, a 25 ºC y 1 atm, es -2 875,8 kJ/mol. Calcula el calor a volumen constante en esas condiciones.

P.-S.

Los calores a presión y volumen constante se relacionan por medio de la siguiente ecuación, cuando hay sustancias gaseosas involucradas: Q_p = Q_v + \Delta nRT\ \to\ Q_v = Q_p - \Delta nRT
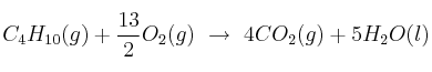
En primer lugar debemos escribir la ecuación de combustión del butano:

C_4H_{10}(g) + \frac{13}{2}O_2(g)\ \to\ 4CO_2(g) + 5H_2O(l)


Es importante tener en cuenta que el agua está en estado líquido a esa temperatura y que, por lo tanto, no la tendremos en cuenta a la hora de hacer la variación de moles de sustancias gaseosas: \Delta n = 4 - \frac{15}{2} = -\frac{7}{2}

Q_v = -2\ 875,8\frac{kJ}{mol} + \frac{7}{2}\cdot 8,314\cdot 10^{-3}\frac{kJ}{K\cdot mol}\cdot 298\ K = \bf -2\ 867,1\frac{kJ}{mol}