Comparación de movimientos acelerados 0001

, por F_y_Q

Un gato es capaz de acelerar con 3\ m\cdot s^{-2} desde el reposo, mientras que un perro que lo observa acelera con 5\ m\cdot s^{-2} desde el reposo. Si el gato se encuentra a 100 m del perro y los dos empiezan a correr al mismo tiempo. ¿Qué tiempo tardará el perro en alcanzar al gato?

P.-S.

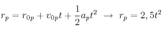
Para hacer este ejercicio vamos a considerar la referencia en el perro y que el gato se encuentra a 100 m del perro. Las ecuaciones de la posición del perro y el gato, teniendo en cuenta sus velocidades iniciales nulas y que la posición inicial del perro es cero, serán:

r_p = r_0_p +v_0_pt + \frac{1}{2}a_pt^2\ \to\ r_p = 2,5t^2

r_g = r_0_g + v_0_gt + \frac{1}{2}a_gt^2\ \to\ r_g = 100 + 1,5t^2


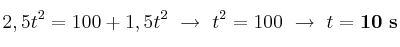
Cuando el perro alcance al gato sus posiciones serán iguales, por lo que sólo tenemos que igualar ambas ecuaciones:

2,5t^2 = 100 + 1,5t^2\ \to\ t^2 = 100\ \to\ t = \bf 10\ s