Conservación de la energía mecánica y del momento lineal (7300)
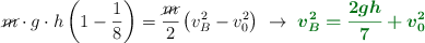
Una partícula de masa m se lanza con una velocidad inicial desde una altura h. Si en el trayecto AB se degrada una cantidad de energía igual a
y si m choca de forma perfectamente inelástica con M, determina la
mínima de m para que las partículas describan un movimiento circular.
