Deducción de velocidad y posición a partir de aceleración 0001

, por F_y_Q

La aceleración en un movimiento es igual a 3\ m/s^2, con 0 < t < 6. ¿Cuál es la expresión para la velocidad (v) y para el desplazamiento (x) en ese mismo intervalo de tiempo?

P.-S.

La aceleración es: a = \frac{v - v_0}{t}
Podemos despejar y tendremos:

v = v_0 + at\ \to\ \bf v = v_0 + 3t


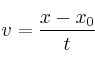
Como la velocidad es: v = \frac{x - x_0}{t}
Volviendo a despejar: x = x_0 + vt
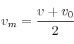
Pero "v" depende del tiempo, porque en la ecuación anterior así lo vimos. El objeto habrá ido variando su velocidad paulatinamente con el tiempo, así que vamos a tener que considerar su velocidad media: v_m = \frac{v + v_0}{2}
Hay que sustituir "v" por su valor medio:

x = x_0 + \frac{v + v_0}{2}\cdot t


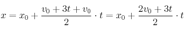
Y ahora sustituimos "v" por su valor dependiente del tiempo:

x = x_0 + \frac{v_0 + 3t + v_0}{2}\cdot t = x_0 + \frac{2v_0 + 3t}{2}\cdot t


El resultado que obtenemos es:

\bf x = x_0 + v_0t + \frac{3}{2}\cdot t^2

Palabras clave