Densidad de un material en unidades SI 0001

, por F_y_Q

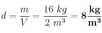
¿Cuál es la densidad de un material que tiene una masa de 16 kg y un volumen total de 2 metros cúbicos?

P.-S.

La densidad es el cociente entre la masa del sistema y el volumen que este ocupa, por lo tanto será:

d = \frac{m}{V} = \frac{16\ kg}{2\ m^3} = \bf{8\frac{kg}{m^3}}

Basta con hacer la división entre ambos valores y obtendremos el valor de la densidad en unidades del Sistema Internacional.