Diferencia de altura entre dos tuberías que echan agua
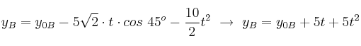
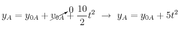
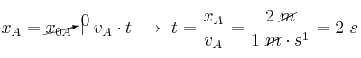
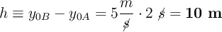
De dos tuberías A y B sale agua como se muestra en la figura. Si los chorros de agua llegan simultáneamente al agujero H (2, -y), calcula la diferencia de altura "h" entre ambas tuberías. (Considera ).
