Diferencia de potencial entre dos puntos de un campo eléctrico (7810)

, por F_y_Q

Calcula la diferencia de potencial entre dos puntos A y B del campo eléctrico creado por una carga de - 0.4\ \mu C situada en el vacío, si las distancias respectivas de los puntos a la carga son 30 cm y 90 cm.

P.-S.

La diferencia de potencial entre los puntos A y B la obtienes a partir de la definición de potencial eléctrico:

V = E\cdot d\ \to\ \color[RGB]{2,112,20}{\bm{V = K\cdot \frac{q}{d}}}

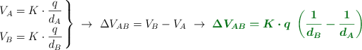
Para cada punto la distancia es distinta y solo tienes que hacer la diferencia entre ellos:

\left V_A = K\cdot \dfrac{q}{d_A} \atop V_B = K\cdot \dfrac{q}{d_B} \right \}\ \to\ \Delta V_{AB} = V_B - V_A\ \to\ \color[RGB]{2,112,20}{\bm{\Delta V_{AB} = K\cdot q\ \left(\frac{1}{d_B} - \frac{1}{d_A}\right)}}

Solo tienes que sustituir y calcular, aunque debes tener en cuenta que las distancias deben estar expresadas en metros:

\Delta V_{AB} = 9\cdot 10^9\ \frac{N\cdot m\cancel{^2}}{C\cancel{^2}}\cdot (-4\cdot 10^6)\ \cancel{C}\cdot \left(\frac{1}{0.9} - \frac{1}{0.3}\right)\ \frac{1}{\cancel{m}} = \fbox{\color[RGB]{192,0,0}{\bm{8\cdot 10^4\ V}}}