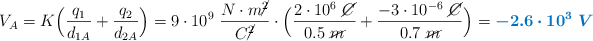
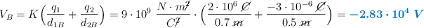
Diferencia de potencial entre dos puntos y trabajo para trasladar una carga (6583)
Calcula para el sistema de cargas de la figura:

a) La diferencia de potencial entre los puntos A y B.
b) El trabajo que debemos realizar para trasladar una carga de desde A hasta B.
Dato: