Distancia recorrida en el último tramo de una caída libre 0001

, por F_y_Q

Un cuerpo cae libremente desde el reposo durante 8 segundos. Calcula la distancia que recorre en los tres últimos segundos de la caída.

P.-S.

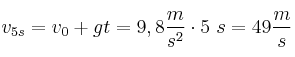
En una caída libre, la velocidad inicial de caída es cero. Si queremos calcular la distancia que se recorre en los últimos 3 s, debemos ser capaces de conocer la velocidad que tendrá el cuerpo cuando hayan pasado los primeros 5 s:

v_{5s} = v_0 + gt = 9,8\frac{m}{s^2}\cdot 5\ s =49\frac{m}{s}


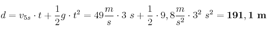
Ahora podemos calcular la distancia en los últimos 3 s si consideramos como velocidad inicial del movimiento la energía que hemos calculado para los 5 s:

d = v_{5s}\cdot t + \frac{1}{2}g\cdot t^2 = 49\frac{m}{s}\cdot 3\ s + \frac{1}{2}\cdot 9,8\frac{m}{s^2}\cdot 3^2\ s^2 = \bf 191,1\ m