EBAU Andalucía: química (junio 2018) - ejercicio A.5 (4656)

, por F_y_Q

En un reactor de 5 L se introducen inicialmente 0.8 moles de \ce{CS_2} y 0.8 moles de \ce{H2} . A 300\ ^oC se establece el equilibrio:

\ce{CS2(g) + 4H2(g) <=> CH4(g) + 2H_2S(g)}

siendo la concentración de \ce{CH4} de 0.025 mol/L. Calcula:

a) La concentración molar de todas las especies en el equilibrio.

b) \ce{K_C} y \ce{K_P} a dicha temperatura.

P.-S.

Para plantear el ejercicio tomas como base el dato de la molaridad del metano en el equilibrio que dice el enunciado.

Al ser los mismos moles iniciales de \ce{CS2} y de \ce{H2}, las concentraciones iniciales de ambos reactivos son las mismas y las llamas c _0, siendo su valor:

c_0 = \frac{0.8\ mol}{5\ L} = \color[RGB]{0,112,192}{\bf 0.16\ M}

Las concentraciones en el equilibrio las puedes expresar en función de este valor:

\color[RGB]{2,112,20}{\bf{\ce {\underset{c_0 - x}{{CS_2(g)}} + {\underset{c_0 - 4x}{4H_2(g)}} <=> {\underset{x}{CH_4(g)}} + {\underset{2x}{2H_2S(g)}}}}}

Llamas «x» a la concentración del metano en el equilibrio, dato que conoces (\color[RGB]{0,112,192}{\bm{x = 2.5\cdot 10^{-2}\ M}}). A partir de este dato, puedes conocer las concentraciones de cada especie en el equilibrio siguiendo la estequiometría de la reacción en el equilibrio:

[\ce{CH4}] = \fbox{\color[RGB]{192,0,0}{\bm{2.5\cdot 10^{-2}\ M}}}


[\ce{H2S}] = 2\cdot 2.5\cdot 10^{-2}\ M = \fbox{\color[RGB]{192,0,0}{\bm{5\cdot 10^{-2}\ M}}}


[\ce{CS2}] = (0.16 - 2.5\cdot 10^{-2})\ M = \fbox{\color[RGB]{192,0,0}{\bm{1.35\cdot 10^{-1}\ M}}}


[\ce{H2}] = (0.16 - 4\cdot 2.5\cdot 10^{-2})\ M = \fbox{\color[RGB]{192,0,0}{\bm{6\cdot 10^{-2}\ M}}}



b) Calculas el valor de \ce{K_C} a partir de los datos de las concentraciones en el equilibrio que has calculado en el apartado anterior:

{\color[RGB]{2,112,20}{\bm{K_C = \frac{[\ce{CH4}]\cdot [\ce{H2S}]^2}{[\ce{CS2}]\cdot [\ce{H2}]^4}}}} = \frac{2.5\cdot 10^{-2}\cdot (5\cdot 10^{-2})^2\ M^3}{1.35\cdot 10^{-1}\cdot (6\cdot 10^{-2})^4\ M^5} = \fbox{\color[RGB]{192,0,0}{\bm{35.71\ M^{-2}}}}


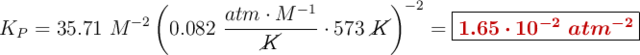
El valor de \€{K_P} lo puedes calcular a partir de la expresión:

\color[RGB]{2,112,20}{\bm{K _P = K_C(RT)^{\Delta n}}}

Sustituyes, teniendo en cuenta que solo debes considerar los moles de sustancias gaseosas, y calculas:

K_P = 35.71\ M^{-2}\left(0.082\ \frac{atm\cdot M^{-1}}{\cancel{K}}\cdot 573\ \cancel{K}\right)^{-2} = \fbox{\color[RGB]{192,0,0}{\bm{1.65\cdot 10^{-2}\ atm^{-2}}}}