Energía potencial y trabajo eléctrico en un sistema de dos cargas con una de ellas móvil (5224)

, por F_y_Q

Dos cargas q _1 y q _2 de - 5\ mC y - 3\ mC se encuentran separadas en el vacío una distancia de 50 cm. Posteriormente la distancia es 1 m. Sabiendo que q _1 está fija y q _2 es móvil. Calcula:

a) La energía potencial inicial y final del q _2.

b) El trabajo realizado por la fuerza eléctrica que ejerce q _1 sobre q _2.

P.-S.

a) La energía potencial viene dada por la expresión:

\color[RGB]{2,112,20}{\bm{U  = K\frac{q_1\cdot q_2}{d}}}

Solo tienes que aplicar esta expresión para los casos inicial y final:

U_1 = 9\cdot 10^9\frac{N\cdot m\cancel{^2}}{\cancel{C^2}}\cdot \frac{(-5\cdot 10^{-3}\ \cancel{C})\cdot (-3\cdot 10^{-3}\ \cancel{C})}{0.5\ \cancel{m}} = \fbox{\color[RGB]{192,0,0}{\bm{2.7\cdot 10^5\ J}}}


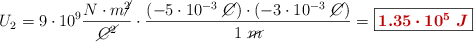
U_2 = 9\cdot 10^9\frac{N\cdot m\cancel{^2}}{\cancel{C^2}}\cdot \frac{(-5\cdot 10^{-3}\ \cancel{C})\cdot (-3\cdot 10^{-3}\ \cancel{C})}{1\ \cancel{m}} = \fbox{\color[RGB]{192,0,0}{\bm{1.35\cdot 10^5\ J}}}


b) El trabajo realizado por la fuerza eléctrica es igual a la variación de energía potencial cambiada de signo:

W = - \Delta U = U_1 - U_2 = (2.7\cdot 10^5 - 1.35\cdot 10^5)\ J = \fbox{\color[RGB]{192,0,0}{\bm{1.35\cdot 10^5\ J}}}