Frecuencia y periodo de movimientos circulares uniformes

, por F_y_Q

a) ¿Cuál es la frecuencia y el periodo de un móvil que da 120 vueltas en un minuto?

b) Una rueda de automóvil da 310 vueltas en 50 s. Calcula la frecuencia y el periodo de la rueda.

P.-S.

En ambos casos nos facilitan como dato la velocidad angular por lo que vamos a usar la ecuación que relaciona la velocidad angular con la frecuencia: \omega = 2\pi\cdot f.
También debemos tener en cuenta que el periodo es la inversa de la frecuencia.

a) \omega = 120\frac{\cancel{vuelt}}{\cancel{min}} \cdot \frac{2\pi\ rad}{1\ \cancel{vuelt}}\cdot \frac{1\ \cancel{min}}{60\ s} = 4\pi\ \frac{rad}{s}

f = \frac{\omega}{2\pi} = \frac{4\cancel{\pi}\frac{\cancel{rad}}{s}}{2\cancel{\pi}\ \cancel{rad}} = \fbox{\color{red}{\bm{2\ s^{-1}}}}


El periodo es:

T = \frac{1}{f} = \frac{1}{2\ s^{-1}} = \fbox{\color{red}{\bm{0.5\ s}}}


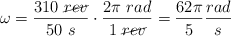
b) \omega = \frac{310\ \cancel{rev}}{50\ s}\cdot \frac{2\pi\ rad}{1\ \cancel{rev}}  = \frac{62\pi}{5}\frac{rad}{s}

f = \frac{\omega}{2\pi} = \frac{62\ \cancel{\pi}\ \cancel{rad}}{5\cdot 2\ \cancel{\pi}\ \cancel{rad}\cdot s} = \fbox{\color{red}{\bm{6.2\ s^{-1}}}}


El periodo es:

T = \frac{1}{f} = \frac{1}{6.2\ s^{-1}} = \fbox{\color{red}{\bm{0.16\ s}}}

Palabras clave