Fuerza aplicada sobre un cuerpo que sube un plano inclinado (6838)

, por F_y_Q

Un cuerpo de masa 5 kg parte del reposo en el punto más bajo de un plano inclinado y liso, que forma un ángulo de 30 ^o con la horizontal y tiene 490 cm de longitud. Alcanza el punto más elevado del plano en 10 s. Calcula:

a) La fuerza exterior paralela al plano ejercida sobre el bloque.

b) La fuerza normal.

Considera g = 9.8\ \textstyle{m\over s^2} .

P.-S.

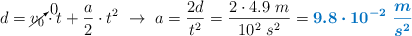
Con los datos de longitud del plano y tiempo que tarda en ascender puedes calcular la aceleración del bloque, dado que parte del reposo:

d = \cancelto{0}{v_0}\cdot t + \frac{a}{2}\cdot t^2\ \to\ a = \frac{2d}{t^2} = \frac{2\cdot 4.9\ m}{10^2\ s^2} = \color[RGB]{0,112,192}{\bm{9.8\cdot 10^{-2}\ \frac{m}{s^2}}}

La fuerza que ha sido aplicada sobre el cuerpo es:

F = m\cdot a = 5\ kg\cdot 9.8\cdot 10^{-2}\ \frac{m}{s^2} = \color[RGB]{0,112,192}{\bf 0.49\ N}

a) La fuerza paralela al plano será la componente de la fuerza que depende del seno del ángulo:

F_x = F\cdot sen\ \alpha = 0.49\ N\cdot sen\ 30 = \fbox{\color[RGB]{192,0,0}{\bf 0.245\ N}}


b) La fuerza normal, que es perpendicular a la superficie del plano, depende del coseno del ángulo:

N = F_y = F\cdot cos\ \alpha = 0.49\ N\cdot cos\ 30 = \fbox{\color[RGB]{192,0,0}{\bf 0.424\ N}}