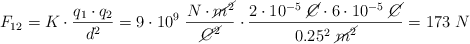
Fuerza neta de dos cargas eléctricas sobre una tercera (6667)
Tres cargas eléctricas puntuales se distribuyen como se muestra en la figura. Determina las características de la fuerza neta sobre la carga .
Datos: ;
;
;

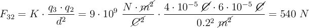
Tres cargas eléctricas puntuales se distribuyen como se muestra en la figura. Determina las características de la fuerza neta sobre la carga .
Datos: ;
;
;