Fuerza sobre un kayak a partir de su aceleración

, por F_y_Q

Una persona en un kayak comienza a remar y acelera de 0 a 0.60 m/s en una distancia de 0.41 m. Si la masa combinada de la persona y el kayak es de 73 kg, ¿cuál es la magnitud de la fuerza neta que actúa sobre el kayak?

P.-S.

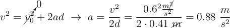
En primer lugar calculas la aceleración del kayak:

v^2 = \cancelto{0}{v_0^2} + 2ad\ \to\ a = \frac{v^2}{2d} = \frac{0.6^2\frac{m\cancel{^2}}{s^2}}{2\cdot 0.41\ \cancel{m}} = 0.88\ \frac{m}{s^2}

La fuerza neta sobre el kayak es:

F = m\cdot a = 73\ kg\cdot 0.88\frac{m}{s^2} = \fbox{\color{red}{\bm{64.2\ N}}}