Ley de Charles de los gases 0001

, por F_y_Q

Calcula el volumen de un gas cuando su temperatura es de 20 ºC si cuando se aumenta la temperatura en cinco grados su volumen es de 2 litros.

P.-S.

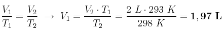
Debemos aplicar la ley de Charles de los gases para hacer el problema. Eso sí, la temperatura debe estar expresada en kelvin:

\frac{V_1}{T_1} = \frac{V_2}{T_2}\ \to\ V_1 = \frac{V_2\cdot T_1}{T_2} = \frac{2\ L\cdot 293\ K}{298\ K} = \bf 1,97\ L