Ley de Charles: temperatura final en un expansión isócora (3030)

, por F_y_Q

Tenemos inicialmente 5 L de oxígeno a 20 ^oC que se calientan, a presión constante, hasta que el volumen final es de 15 L. ¿Cuál es la temperatura final expresada en kelvin?

P.-S.

Aplicas la ley de Charles que indica que el cociente entre el volumen y la temperatura de un gas que está a presión constante ha de ser siempre el mismo:

\frac{V_1}{T_1}  = \frac{V_2}{T_2}

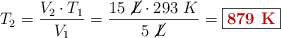
Despejas el valor de la temperatura final, T _2, y sustituyes:

T_2 = \frac{V_2\cdot T_1}{V_1} = \frac{15\ \cancel{L}\cdot 293\ K}{5\ \cancel{L}} = \fbox{\color[RGB]{192,0,0}{\bf 879\ K}}


Es importante que recuerdes que la temperatura ha de estar expresada en escala absoluta siempre que hagas problemas de gases.