Masa de nitruro de litio a partir de masas iguales de reactivos (4773)

, por F_y_Q

El litio y el nitrógeno reaccionan para producir nitruro de litio según a reacción:

\ce{Li(s) + N2(g) -> Li3N(s)}

Si se hacen reaccionar 5 g de cada reactivo y el rendimiento es del 80.5\ \%, ¿cuántos gramos de \ce{Li3N} se obtendrán en la reacción?

Masas atómicas: Li = 7 ; N = 14.

P.-S.

Atendiendo a las masas atómica y molecular de los reactivos, Li =7\ \textstyle{g\over mol} y \ce{N2} = 28\ \textstyle{g\over mol}, parece claro que el nitrógeno será el reactivo limitante porque las masas de partida de cada reactivo son iguales, es decir, se consumirán antes los 5 g de nitrógeno que los de litio.

Debes usar la masa de nitrógeno como dato para hacer el problema.

Si el proceso tuviese un rendimiento del 100\ \%, la masa de nitruro de litio sería, teniendo en cuenta que la masa molecular es, 7\cdot 3 + 14\cdot 1 = 35\ \textstyle{g\over mol}:

\frac{28\ \ce{g N2}}{2\cdot 35\ \ce{g Li3N}} = \frac{5\ \ce{g N2}}{x}\ \to\ \color[RGB]{0,112,192}{x = 12.5\ \ce{g Li3N}}

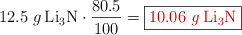
Pero el rendimiento es del 80.5 \% y eso quiere decir que la cantidad que se obtenga será MENOR que la que acabas de calcular. Para obtener ese dato basta multiplicar por el valor del rendimiento pero expresado en tanto por uno:

12.5\ \ce{g Li3N}\cdot \frac{80.5}{100}=\fbox{\color[RGB]{192,0,0}{10.06\ \ce{g Li3N}}}