Volumen de aire para oxidar suficiente glucosa por hora en el organismo (7264)
La oxidación de la glucosa en el cuerpo se realiza de acuerdo con la reacción redox:

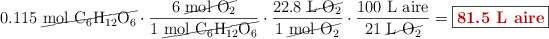
Si el consumo de glucosa de un organismo es de 2.77 mol/día, ¿cuál será el volumen de aire, a  y la presión de 1 bar, que debo respirar para lograr esta oxidación durante una hora?
 y la presión de 1 bar, que debo respirar para lograr esta oxidación durante una hora?
 Ejercicios FyQ
 Ejercicios FyQ