Moles de un gas conocidos presión, temperatura y volumen 0001

, por F_y_Q

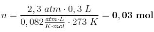
Calcula el número de moles de un gas que ocupa un volumen de 0,3 litros a 2,3 atmósferas de presión y a 273 K de temperatura.

P.-S.

A partir de la ecuación de los gases ideales podemos despejar los moles de gas que hay encerrados en el sistema:

PV = nRT\ \to\ n = \frac{PV}{RT}


Basta con sustituir los valores dados en el enunciado:

n = \frac{2,3\ atm\cdot 0,3\ L}{0,082\frac{atm\cdot L}{K\cdot mol}\cdot 273\ K} = \bf 0,03\ mol