Portada del sitio > Secundaria > F y Q [4.º ESO] > Cálculos químicos (4.º ESO) > Moles de un sistema gaseoso que sufre varias transformaciones y estado final (…)

Moles de un sistema gaseoso que sufre varias transformaciones y estado final (5765)

Domingo 22 de septiembre de 2019, por F_y_Q

Un gas ideal se encuentra a una presión de 5.00 atm, a una temperatura de -170\ ^oC y ocupa un volumen de 50.0 L. El gas duplica su volumen mediante un proceso a temperatura constante, luego se enfría a volumen constante hasta alcanzar una presión de 1.50 atm. Determina:

a) El número de moles de gas contenido en el sistema.

b) La presión al final de la expansión.

c) La temperatura final.


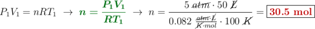
a) Aplicando la ecuación de los gases ideales para los datos iniciales del gas obtienes:

P_1V_1 = nRT_1\ \to\ {\color[RGB]{2,112,20}{\bm{n = \frac{P_1V_1}{RT_1}}}}\ \to\ n = \frac{5\ \cancel{atm}\cdot 50\ \cancel{L}}{0.082\ \frac{\cancel{atm}\cdot \cancel{L}}{\cancel{K}\cdot mol}\cdot 100\ \cancel{K}} = \fbox{\color[RGB]{192,0,0}{\bf 30.5\ mol}}


b) Al ser constante la temperatura durante la expansión, aplicas la ley de Boyle para calcular la presión al final de la misma:

P_1\cdot V_1 = P_2\cdot V_2\ \to\ {\color[RGB]{2,112,20}{\bm{P_2 = \frac{P_1\cdot V_1}{V_2}}}}\ \to\ P_2 = \frac{5\ atm\cdot 50\ \cancel{L}}{100\ \cancel{L}} = \fbox{\color[RGB]{192,0,0}{\bf 2.50\ atm}}


c) La última transformación se realiza a volumen constante por lo que aplicas la ley de Gay-Lussac:

\frac{P_2}{T_2} = \frac{P_3}{T_3}\ \to\ {\color[RGB]{2,112,20}{\bm{T_3 = \frac{P_3\cdot T_2}{P_2}}}}\ \to\ T_3 = \frac{1.5\ \cancel{atm}\cdot 100\ K}{2.5\ \cancel{atm}} = \fbox{\color[RGB]{192,0,0}{\bf 60.0\ K}}

¿Un mensaje, un comentario?

moderación a priori

Este foro es moderado a priori: su contribución sólo aparecerá una vez validada por un/a administrador/a del sitio.

¿Quién es usted?
Su mensaje

Este formulario acepta atajos SPIP [->url] {{negrita}} {cursiva} <quote> <code> código HTML <q> <del> <ins>. Para separar párrafos, simplemente deje líneas vacías.

Añadir un documento