Profundidad de un pozo conocido el tiempo en escuchar la caída (3566)

, por F_y_Q

Una piedra se deja caer sobre un pozo con agua y a los dos segundos se escucha el impacto de la piedra sobre el agua. ¿Cuál es la profundidad del pozo?

P.-S.

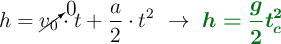
Este problema hay que analizarlo detenidamente. La piedra tiene que caer hasta el fondo y luego el sonido debe subir hasta la boca del pozo, donde es percibido. Si llamas «h» a la profundidad del pozo, la piedra cumplirá la ecuación:

h = \cancelto{0}{v_0}\cdot t + \frac{a}{2}\cdot t^2\ \to\ \color[RGB]{2,112,20}{\bm{h = \frac{g}{2}t_c^2}}

El sonido, que se propaga en el aire con una velocidad constante de 340 m/s, debe cumplir la ecuación del MRU:

\color[RGB]{2,112,20}{\bm{h = v_s\cdot t_s}}

Como ambas distancias son las mismas, igualas las expresiones. Eso sí, la suma del tiempo que tarda en caer la piedra y el tiempo que tarda en subir el sonido es 2 s:

4.9t_c^2 = 340t_s\ \to\ 4.9t_c^2 = 340(2-t_c)\ \to\ \color[RGB]{2,112,20}{\bm{4.9t_c^2+340t_c-680 = 0}}

Si resuelves la ecuación de segundo grado obtienes un valor de tiempo de caída de \color[RGB]{0,112,192}{\textbf{1.94 s}}. Ahora puedes calcular la profundidad del pozo con la expresión de la caída de la piedra:

h = 4.9\ \frac{m}{\cancel{s^2}}\cdot 1.94^2\ \cancel{s^2} = \fbox{\color[RGB]{192,0,0}{\bf 18.4\ m}}

Palabras clave