Temperatura final de un gas cuando se varían presión y volumen 0001

, por F_y_Q

¿A qué temperatura estará una masa de gas encerrada en un recipiente flexible con un volumen de 33 L a 800 mm Hg de presión, sabiendo que a 80\ ^oC y 2 atm ocupa un volumen de 8 L?

P.-S.

Aplicamos la ecuación general de los gases:

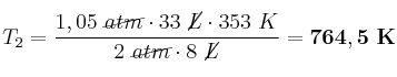
\frac{P_1\cdot V_1}{T_1} = \frac{P_2\cdot V_2}{T_2}\ \to\ T_2 = \frac{P_2\cdot V_2\cdot T_1}{P_1\cdot V_1}


Convertimos la presión a atmósferas y la temperatura a kelvin:
P_2 = 800\ \cancel{mm\ Hg}\cdot \frac{1\ atm}{760\ \cancel{mm\ Hg}} = 1,05\ atm
T_1 = (80 + 273)\ K = 353\ K

T_2 = \frac{1,05\ \cancel{atm}\cdot 33\ \cancel{L}\cdot 353\ K}{2\ \cancel{atm}\cdot 8\ \cancel{L}} = \bf 764,5\ K