Volumen que ocupan 9 kg de potasio

, por F_y_Q

¿Cuál es el volumen de 9 kg de potasio si su densidad es 3 g/mL?

P.-S.

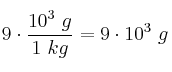
Lo primero a tener en cuenta en el ejercicio es que las unidades no son homogéneas, es decir, la masa viene expresada en g/mL y la masa en kg. Voy optar por expresar la masa en gramos para así no tener que usar decimales.
9\kg\cdot \frac{10^3\ g}{1\ kg} = 9\cdot 10^3\ g
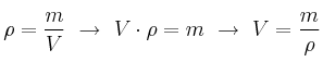
La densidad es el cociente entre la masa y el volumen, si despejamos el valor del volumen (lo voy a hacer en dos pasos para que quede más claro):
\rho = \frac{m}{V}\ \to\ V\cdot \rho = m\ \to\ V = \frac{m}{\rho}
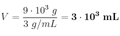
Ya solo queda sustituir los datos que tenemos:

V = \frac{9\cdot 10^3\ g}{3\ g/mL} = \bf 3\cdot 10^3\ mL

(Expresado en litros serían 3 litros de potasio).