Altura y velocidad de un objeto lanzado hacia arriba en distintos instantes

, por F_y_Q

Un cuerpo es lanzado verticalmente hacia arriba con una velocidad de 700 m/s, calcula:

a) El tiempo que tarda en regresar al suelo.

b) La altura máxima alcanzada.

c) La rapidez a los 100 s de ser lanzada.

d) La altura con respecto al suelo a los 20 s.

e) La velocidad con la que toca el suelo.

P.-S.

En un movimiento vertical hacia arriba, si consideramos positiva la velocidad de lanzamiento tenemos que considerar que la aceleración de la gravedad es negativa por tener sentido contrario. En ausencia de rozamiento, el movimiento que hará el cuerpo es simétrico, es decir, el mismo tiempo que tarda en ascender será el que tarde en volver al punto de partida. Del mismo modo, la velocidad al final del movimiento será la misma que la velocidad inicial.
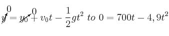
a) Si consideramos que y = 0 en la ecuación de la posición del objeto podemos obtener el valor del tiempo de vuelo:
\cancelto{0}{y} = \cancelto{0}{y_0} + v_0t - \frac{1}{2}gt^2\ to\ 0 = 700t - 4,9t^2
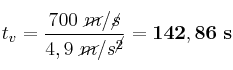
La ecuación anterior tiene dos soluciones: t = 0 que se dice la solución trivial porque se corresponde con el momento inicial del lanzamiento. La segund solución que se obtiene es:

t_v = \frac{700\ \cancel{m}/\cancel{s}}{4,9\ \cancel{m}/s^\cancel{2}}} = \bf 142,86\ s


b) La altura máxima es alcanzada cuando la velocidad del cuerpo se hace nula, es decir, cuando deja de ascender para comenzar a descender. El tiempo de subida es:
\cancelto{0}{v} = v_0 - gt\ \to\ t_s = \frac{700\ \cancel{m}/\cancel{s}}{9,8\ \cancel{m}/s^\cancel{2}}} = \bf 71,43\ s
Tal y como hemos indicado al principio del problema, el tiempo de subida es la mitad del tiempo de vuelo.

h_{m\acute{a}x} = 700\frac{m}{\cancel{s}}\cdot 71,43\ \cancel{s} - 4,9\frac{m}{\cancel{s^2}}\cdot 71,43^2\ \cancel{s^2} = \bf 2,5\cdot 10^3\ m


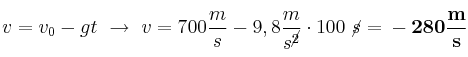
c) Ahora imponemos la condición de t = 100 s en la ecuación de la velocidad:

v = v_0 - gt\ \to\ v = 700\frac{m}{s} - 9,8\frac{m}{s^\cancel{2}}}\cdot 100\ \cancel{s} = \bf -280\frac{m}{s}

(El signo negativo nos indica que está descendiendo).
d) Ahora imponemos el valor del tiempo en la ecuación de la posición:

y = 700\frac{m}{\cancel{s}}\cdot 20\ \cancel{s} - 4,9\frac{m}{\cancel{s^2}}\cdot 20^2\ \cancel{s^2} = \bf 12\ 040\ m


e) La velocidad con la que llega al suelo es la misma que la velocidad con la que fue lanzado: \bf v_f = 700\frac{m}{s}.