Cuerpos enlazados que rozan entre sí en un plano inclinado (6128)
Dos bloques de madera se encuentran sobre un plano inclinado unidos por una polea y una cuerda de masas y efectos despreciables, estando sobre
, como se muestra en la figura:

Plano inclinado con dos cuerpos enlazados que rozan uno sobre otro
EjerciciosFyQ
Calcula:
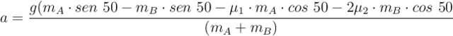
a) La aceleración del sistema y su sentido.
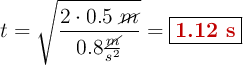
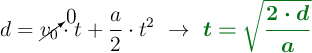
b) Si el centro del bloque B esta a 0.5 m de cada uno de los bordes del bloque A, ¿qué tiempo tarda el centro del bloque B en llegar al borde?
c) El valor del ángulo que impediría el movimiento de los bloques.
Datos: ;
;
;
;