Distancia y tiempo que tarda un tren que se mueve con aceleración constante (6686)

, por F_y_Q

Un tren parte del reposo y se mueve con una aceleración constante. En un momento dado lleva una rapidez de 10\ \textstyle{m\over s} y 20 m más adelante su rapidez es de 16\ \textstyle{m\over s}. Calcula:

a) La aceleración del tren.

b) Tiempo empleado en recorrer estos 20 m.

c) Tiempo que emplea para alcanzar una rapidez de 25\ \textstyle{m\over s}.

d) Distancia que recorrió hasta que adquirió la rapidez de 10\ \textstyle{m\over s}, si partió del reposo.

P.-S.

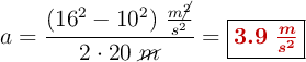
a) Como el tiempo que emplea el tren en su variación de la velocidad no es conocido, se hace necesario emplear la ecuación que relaciona la variación de la velocidad con la distancia que recorre y la aceleración que experimenta:

v^2 = v_0^2 + 2ad\ \to\ \color[RGB]{2,112,20}{\bm{a = \frac{v^2 - v_0^2}{2d}}}

Ahora solo tienes que sustituir y calcular:

a = \frac{(16^2 - 10^2)\ \frac{m\cancel{^2}}{s^2}}{2\cdot 20\ \cancel{m}}= \fbox{\color[RGB]{192,0,0}{\bm{3.9\ \frac{m}{s^2}}}}


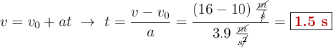
b) El tiempo empleado en la variación de la velocidad dada es:

v = v_0 + at\ \to\ t = \frac{v - v_0}{a}= \frac{(16 - 10)\ \frac{\cancel{m}}{\cancel{s}}}{3.9\ \frac{\cancel{m}}{s\cancel{^2}}} = \fbox{\color[RGB]{192,0,0}{\bf 1.5\ s}}


c) Usas la fórmula anterior para para la nueva velocidad indicada:

t = \frac{v - v_0}{a} = \frac{(25 - 10)\ \frac{\cancel{m}}{\cancel{s}}}{3.9\ \frac{\cancel{m}}{s\cancel{^2}}}= \fbox{\color[RGB]{192,0,0}{\bf 3.8\ s}}


d) Ahora debes considerar que la velocidad inicial es cero y usar la misma fórmula que en el apartado a), pero despejando la distancia:

v^2 = \cancelto{0}{v_0^2} + 2ad\ \to\ \color[RGB]{2,112,20}{\bm{d = \frac{v^2}{2a}}}

Sustituyes y calculas:

d = \frac{10^2\ \frac{m\cancel{^2}}{\cancel{s^2}}}{2\cdot 3.9\ \frac{\cancel{m}}{\cancel{s^2}}}= \fbox{\color[RGB]{192,0,0}{\bf 12.8\ m}}