Energía y trabajo de una partícula (3896)
Una partícula de 4 kg se mueve a lo largo del eje x. Su posición varía con el tiempo de acuerdo con la ecuación:

donde «x» se mide en metros y «t» en segundos. Encuentra:
a) La energía cinética en cualquier instante.
b) La aceleración de la partícula y la fuerza que actúa sobre ella en función del tiempo.
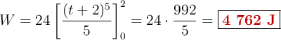
c) El trabajo efectuado sobre la partícula en el intervalo t = 0 a t = 2 s.
 Ejercicios FyQ
 Ejercicios FyQ