Frenado en una carretera con tramo helado y tramo seco (4551)

, por F_y_Q

Un automóvil viaja por una carretera larga y recta con una rapidez constante de 75\ mi\cdot h^{-1} cuando la conductora ve un accidente 150 m más adelante. De inmediato, aplica el freno (ignora el tiempo de reacción). Entre ella y el accidente hay dos superficies diferentes. Primero hay 100 m de hielo, donde su desaceleración es apenas de 1.00\ m\cdot s^{-2}. A partir de ahí se encuentra sobre suelo seco, donde su desaceleración, ahora más normal, es de 7.00\ m\cdot s^{-2}.

a) ¿Cuál era su rapidez justo después de dejar la porción del camino cubierta de hielo?

b)¿Cuánta distancia recorre en total para detenerse?

c)¿Cuánto tiempo tarda en total hasta detenerse?

P.-S.

El primer lugar, debes convertir la velocidad a la unidad SI para que el ejercicio sea homogéneo:

75\ \frac{\cancel{mi}}{\cancel{h}}\cdot \frac{1\ 609\ m}{1\ \cancel{mi}}\cdot \frac{1\ \cancel{h}}{3.6\cdot 10^3\ s} = \color[RGB]{0,112,192}{\bm{33.5\ \frac{m}{s}}}

a) La velocidad del coche después de atravesar el tramo helado es:

v_1^2 = v_0^2 + 2a_1\cdot d_1\ \to\ v_1 = \sqrt{33.5^2\ \frac{m^2}{s^2} - 2\cdot 1\ \frac{m}{s^2}\cdot 100\ m} = \fbox{\color[RGB]{192,0,0}{\bm{30.4\ \frac{m}{s}}}}


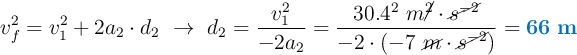
b) Calculas la distancia que necesita para deternerse, es decir, su velocidad final es cero, en el segundo tramo: y luego habrá que sumarle los 100 m recorridos sobre el hielo:

v_f^2 = v_1^2 + 2a_2\cdot d_2\ \to\ d_2 = \frac{v_1^2}{-2a_2} = \frac{30.4^2\ m\cancel{^2}\cdot \cancel{s^{-2}}}{-2\cdot (-7\ \cancel{m}\cdot \cancel{s^{-2}})} = \color[RGB]{0,112,192}{\bf 66\ m}

A esta distancia le tienes que sumar los 100 m recorridos sobre el hielo, por lo tanto, la distancia total recorrida serán:

d_T = (100 + 66)\ m = \fbox{\color[RGB]{192,0,0}{\bf 166\ m}}


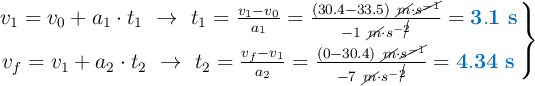
c) Debes calcular el tiempo que tarda en cada tramo por separado:

\left v_1 = v_0 + a_1\cdot t_1\ \to\ t_1 = \frac{v_1 - v_0}{a_1} = \frac{(30.4 - 33.5)\ \cancel{m}\cdot \cancel{s^{-1}}}{-1\ \cancel{m}\cdot s^{-\cancel{2}}} = {\color[RGB]{0,112,192}{\bf 3.1\ s}} \atop v_f = v_1 + a_2\cdot t_2\ \to\ t_2 = \frac{v_f - v_1}{a_2} = \frac{(0 - 30.4)\ \cancel{m}\cdot \cancel{s^{-1}}}{-7\ \cancel{m}\cdot s^{-\cancel{2}}} = {\color[RGB]{0,112,192}{\bf 4.34\ s}} \right \}

El tiempo total que demora en detenerse es la suma de ambos tiempos:

t_T = (3.1 + 4.34)\ s = \fbox{\color[RGB]{192,0,0}{\bf 7.44\ s}}