Ley general de los gases (1920)

, por F_y_Q

Calcula la temperatura final de un gas encerrado en un volumen de 2 L, a 2 5\ ^oC y 1 atm, si reducimos su volumen hasta los 0.5 L y su presión aumenta hasta 3.8 atm.

P.-S.

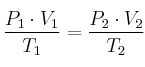
Vas a emplear la ecuación de estado de los gases:

\color[RGB]{2,112,20}{\bm{\frac{P_1\cdot V_1}{T_1} = \frac{P_2\cdot V_2}{T_2}}}}

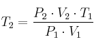
Despejando el valor de T _2:

T_2 = \frac{P_2\cdot V_2\cdot T_1}{P_1\cdot V_1}  = \frac{3.8\ \cancel{atm}\cdot 0.5\ \cancel{L}\cdot 298\ K}{1\ \cancel{atm}\cdot 2\ \cancel{L}} = \fbox{\color[RGB]{192,0,0}{\bf 283.1\ K}}


RESOLUCIÓN DEL PROBLEMA EN VÍDEO.