Longitudes de onda de la zona visible del espectro (7323)

, por F_y_Q

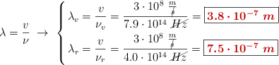
Las frecuencias que corresponden a las ondas que forman la zona visible del espectro oscilan entre 7.9\cdot 10^{14}\ Hz (violeta) y 4.0\cdot 10^{14}\ Hz (rojo). Calcula las correspondientes longitudes de onda, teniendo en cuenta que estas ondas se mueven a la velocidad de la luz.

P.-S.

La velocidad propagación de estas ondas es 3\cdot 10^8\ \textstyle{m\over s} y se puede escribir como:

\color[RGB]{2,112,20}{\bm{v = \nu\cdot \lambda}}

Si despejas el valor de la longitud de onda en la ecuación anterior y sustituyes por los valores de frecuencia de cada color:

\lambda = \frac{v}{\nu}\ \to\ \left \{ \lambda_{v} = \dfrac{v}{\nu_v} = \dfrac{3\cdot 10^8\ \frac{m}{\cancel{s}}}{7.9\cdot 10^{14}\ \cancel{Hz}} = \fbox{\color[RGB]{192,0,0}{\bm{3.8\cdot 10^{-7}\ m}}} \atop \lambda_{r} = \dfrac{v}{\nu_r} = \dfrac{3\cdot 10^8\ \frac{m}{\cancel{s}}}{4.0\cdot 10^{14}\ \cancel{Hz}} = \fbox{\color[RGB]{192,0,0}{\bm{7.5\cdot 10^{-7}\ m}}} \right


Puedes descargar el enunciado y la resolución del problema en formato EDICO si lo necesitas.