MRUA: aceleración y velocidad final 0001

, por F_y_Q

Un coche parte del reposo y alcanza una velocidad de 18 m/s en 12 s. Calcula su aceleración. Considerando que la aceleración es constante, ¿cuál sería la velocidad ocho segundos más tarde?

P.-S.

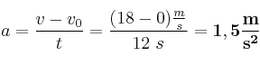
La aceleración será la variación de la velocidad partido por el tiempo en el que se produce esa variación:

a = \frac{v - v_0}{t} = \frac{(18 - 0)\frac{m}{s}}{12\ s} = \bf 1,5\frac{m}{s^2}


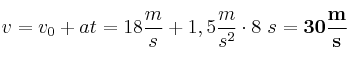
La velocidad que llevará cuando hayan pasado los últimos ocho segundos será:

v = v_0 + at = 18\frac{m}{s} + 1,5\frac{m}{s^2}\cdot 8\ s = \bf 30\frac{m}{s}


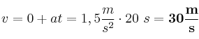
También se podría haber tenido en cuenta los (12 + 8) s = 20 s desde que inició el movimiento, pero considerando su velocidad inicial como cero:

v = 0 + at = 1,5\frac{m}{s^2}\cdot 20\ s = \bf 30\frac{m}{s}