Movimiento rectilíneo uniformemente acelerado (2226)

, por F_y_Q

Cuando el conductor acciona los frenos de una camioneta ligera que viaja a 40 km/h comienza a patinar y recorre 3 m antes de detenerse. ¿Qué distancia patinará la camioneta, si esta viajando a 80 km/h, cuando se accionan los frenos?

P.-S.

Puedes hacer el problema comparando expresiones. La ecuación que usas es la que relaciona la velocidad inicial y final con la aceleración y la distancia:

\color[RGB]{2,112,20}{\bm{v^2 = v_0^2 + 2\cdot a\cdot d}}

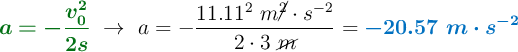
En ambos casos, la velocidad final será cero porque la camioneta se detiene y la aceleración de los frenos es la misma. La aceleración será:

{\color[RGB]{2,112,20}{\bm{a = - \frac{v_0^2}{2s}}}}\ \to\ a = - \frac{11.11^2\ m\cancel{^2}\cdot s^{-2}}{2\cdot 3\ \cancel{m}} = {\color[RGB]{0,112,192}{\bm{- 20.57\ m\cdot s^{-2}}}}

Ya puedes calcular la distancia para el caso en el que la velocidad inicial es el doble:

{\color[RGB]{2,112,20}{\bm{s = \frac{v_0^2}{2\cdot a}}}} = - \frac{22.22^2\ m\cancel{^2}\cdot \cancel{s^{-2}}}{2\cdot 20.57\ \cancel{m}\cdot \cancel{s^{-2}}} = \fbox{\color[RGB]{192,0,0}{\bf 12\ m}}