Repaso: caso práctico de los efectos de las fuerzas y la electricidad (7297)
La Luna gira alrededor de la Tierra en una órbita cuasi circular con un periodo de 28 días. Si el radio de la órbita es  y las masas de la Tierra y de la Luna son
 y las masas de la Tierra y de la Luna son  y
 y  , respectivamente:
 , respectivamente:
a) ¿Cuál es la fuerza de atracción gravitatoria entre ambos cuerpos?
b) ¿Cuál tendría que ser la distancia entre dos cargas de 3 C y -2 C para que la atracción entre ellas fuese igual a la que existe entre la Tierra y la Luna?
c) Imagina un muelle de constante recuperadora  , ¿cuál sería la deformación que sufriría si se le aplicase la fuerza calculada en el primer apartado?
 , ¿cuál sería la deformación que sufriría si se le aplicase la fuerza calculada en el primer apartado?
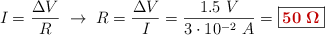
d) Si la carga de 3 C del apartado b) se hace circular por un circuito, completándolo en  , al conectarla a una pila de 1.5 V, ¿cuál es la resistencia del circuito?
, al conectarla a una pila de 1.5 V, ¿cuál es la resistencia del circuito?
 Ejercicios FyQ
 Ejercicios FyQ