Tiempo durante el que acelera un vehículo

, por F_y_Q

Calcula el tiempo necesario en el esquema de la figura, si el vehículo partió del reposo:

P.-S.

En primer lugar vamos a calcular cuál es la velocidad final del vehículo tras recorrer los 32 m:
v^2 = \cancelto{0}{v_0^2} + 2ad\ \to\ v = \sqrt{2ad} = \sqrt{2\cdot 4\frac{m}{s^2}\cdot 32\ m} = 16\ \frac{m}{s}
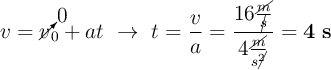
Ahora podemos calcular el tiempo necesario para llevar a cabo la aceleración hasta llegar a esa velocidad:

v = \cancelto{0}v_0 + at\ \to\ t = \frac{v}{a} = \frac{16\frac{\cancel{m}}{\cancel{s}}}{4\frac{\cancel{m}}{s\cancel{^2}}} = \bf 4\ s