Tiempo en llegar al suelo de una pelota lanzada hacia arriba (7495)

, por F_y_Q

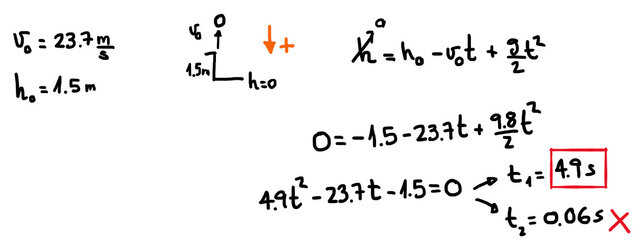
Una pelota de 0.2 kg se lanza hacia arriba a 23.7 m/s desde una altura inicial de 1.5 m. A medida que la pelota viaja hacia arriba, pasa 10 m de altura sobre el suelo. ¿Cuál es el tiempo total que tarda la pelota en llegar al suelo?

P.-S.

En la resolución del problema es importante hacer un esquema de la situación y tomar un criterio de signos. Si consideras la referencia en el suelo y que el sentido hacia abajo es positivo, tanto la altura inicial como la velocidad inicial han de ser negativas.

Si clicas en la miniatura puedes ver la resolución del problema con más detalle.


Solo resulta válida la solución \fbox{\color[RGB]{192,0,0}{\bf t = 4.9 s}} porque es la que cumple con la condición de que la pelota supere los 10 m de altura.