Tiempo y distancia a la que llega una gota de agua que sale de un orificio de un bidón (5826)

, por F_y_Q

La velocidad del chorro de agua que sale por un orificio de un bidón se obtiene con la expresión v= \sqrt{2 gh} , donde h = 2 m es la altura del orificio con respecto a la superficie libre de agua. Determina el tiempo para que una partícula de agua salga por el orificio, que está a 1.5 m de altura con respecto al suelo, y llegue al suelo y a qué distancia del bidón golpeará con el suelo.

P.-S.

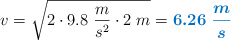
La velocidad con la que saldrá el agua justo al inicio es:

v = \sqrt{2\cdot 9.8\ \frac{m}{s^2}\cdot 2\ m} = \color[RGB]{0,112,192}{\bm{6.26\ \frac{m}{s}}}

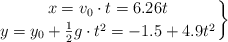
La partícula de agua seguirá un movimiento de lanzamiento horizontal, siendo la velocidad inicial de componente horizontal exclusivamente y estando sometido a la aceleración de la gravedad. Las ecuaciones de la posición son:

\left x = v_0\cdot t = 6.26t \atop y = y_0 + \frac{1}{2}g\cdot t^2 = -1.5 + 4.9t^2 \right \}

Le impones la condición de que la posición sea cero para obtener el tiempo de caída:

0 = -1.5 + 4.9t^2\ \to\ t = \sqrt{\frac{1.5\ \cancel{m}}{4.9\ \frac{\cancel{m}}{s^2}}} = \fbox{\color[RGB]{192,0,0}{\bf 0.55\ s}}


La distancia a la que golpea en el suelo es:

x = 6.26\ \frac{m}{\cancel{s}}\cdot 0.55\ \cancel{s} = \fbox{\color[RGB]{192,0,0}{\bf 3.44\ m}}