Tiempo y velocidad de un cuerpo que ha sido lanzado verticalmente (6876)

, por F_y_Q

Marina se coloca en el tejado de su casa y lanza un cuerpo hacia arriba con una velocidad de 24 m/s. Entre su estatura y la de la casa suman 4.3 m. Calcula:

a) ¿Cuál fue la altura alcanzada por el cuerpo?

b) ¿Cuánto demoró en alcanzarla?

c) ¿Con qué velocidad llegó al piso y cuánto tiempo después de haber sido lanzada?

d) ¿En algún momento o en algunos momentos estuvo a 25 m de altura? ¿Cuándo? ¿Y a 40 m de altura? ¿Y a dos metros del suelo?

P.-S.

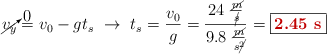
b) Para saber la altura máxima que alcanza es necesario saber el tiempo durante el que está ascendiendo el cuerpo. La condición que debes imponer es que la velocidad del cuerpo sea cero:

\cancelto{0}{v_y} = v_0 - gt_s\ \to\ t_s = \frac{v_0}{g} = \frac{24\ \frac{\cancel{m}}{\cancel{s}}}{9.8\ \frac{\cancel{m}}{s\cancel{^2}}} = \fbox{\color[RGB]{192,0,0}{\bf 2.45\ s}}


a) Ahora puedes calcular la altura máxima que alcanza, para lo que debes tener en cuenta la altura a la que lanza el cuerpo Marina:

h_{m\acute{a}x} = h_0 + v_0t_s - \frac{g}{2}t_s^2 = 4.3\ m + 24\ \frac{m}{\cancel{s}}\cdot 2.45\ \cancel{s} - 4.9\ \frac{m}{\cancel{s^2}}\cdot 2.45^2\ \cancel{s^2} = \fbox{\color[RGB]{192,0,0}{\bf 34.9\ m}}


c) Primero calculas el tiempo durante el que está en el aire el cuerpo. Si tomas la referencia en el punto de lanzamiento, la posición final será -4.3 m:

h = \cancelto{0}{h_0} + v_0t - \frac{g}{2}t^2\ \to\ 4.9t^2 - 24t - 4.3 = 0

Si resuelves la ecuación de segundo grado obtienes dos soluciones, pero solo una de ellas es positiva: \fbox{\color[RGB]{192,0,0}{\bf t = 5.07\ s}}

La velocidad al llegar al suelo es:

v = v_0 - gt = 24\ \frac{m}{s} - 9.8\ \frac{m}{s\cancel{^2}}\cdot 5.07\ \cancel{s} = \bm{-25.7\ \frac{m}{s}}}}


d) Dado que la altura máxima es menor de 40 m, no ha llegado a los 40 m en ningún momento. Sin embargo, sí que habrá alcando los 25 m porque es una altura menor que la altura máxima.
Esos instantes los obtienes si consideras esa altura y resuelves la ecuación de segundo grado:

h = h_0 + v_0t - \frac{g}{2}t^2\ \to\ 25 = 4.3 + 24t - 4.9t^2\ \to\ \color[RGB]{0,112,192}{\bm{4.9t^2 - 24t + 20.7 = 0}}

\fbox{\color[RGB]{192,0,0}{\bm{t_1 = 3.78\ s}}}

\fbox{\color[RGB]{192,0,0}{\bm{t_2 = 1.12\ s \right}}}


Para los dos metros del suelo debes hacer lo mismo que antes, pero solo obtienes un valor positivo:

h = h_0 + v_0t - \frac{g}{2}t^2\ \to\ 2 = 4.3 + 24t - 4.9t^2\ \to\ \color[RGB]{0,112,192}{\bm{4.9t^2 - 24t - 2.3 = 0}}

\fbox{\color[RGB]{192,0,0}{\bm{t = 4.99\ s}}}