Tratamiento de datos de un MRU 0001
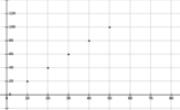
Al hacer un experimento de movimiento uniforme en el laboratorio, se obtuvieron los datos indicados en la siguiente tabla:

Al hacer un experimento de movimiento uniforme en el laboratorio, se obtuvieron los datos indicados en la siguiente tabla:
