Velocidad final en un MRUA 0002

, por F_y_Q

Un móvil varía su rapidez de 30 m\cdot s^{-1} y acelera a razón de 4 m\cdot s^{-2} en 10 s. ¿Cuál será su rapidez al cabo de ese tiempo?

P.-S.

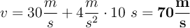
La ecuación que relaciona la velocidad del móvil con la aceleración a la que está sometido y el tiempo es: v = v_0 + at
Sustituyendo los datos:

v = 30\frac{m}{s} + 4\frac{m}{s^2}\cdot 10\ s = \bf 70\frac{m}{s}