Velocidad inicial para que dos esferas con distintos movimientos impacten en el aire (6440)
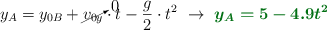
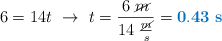
Una esfera A se desliza con una velocidad constante de 14 m/s como se indica en la figura:

Determina la velocidad inicial vertical que debería imprimir a la esfera B para impactar con la esfera A, suponiendo que se lanza en el mismo instante en que la esfera A abandona la mesa. Considera que