Velocidad y ecuación de posición en caída libre 0001

, por F_y_Q

Una pelota de golf se suelta desde el reposo del techo de un edificio muy alto. Despreciando la resistencia del aire, calcula las ecuaciones de la posición y la velocidad de la pelota después de 2, 4 y 6 s.

P.-S.

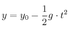
Se trata de un movimiento de caída libre. Las ecuaciones de la velocidad y la posición son:
Velocidad: v = g\cdot t
Posición: y = y_0 - \frac{1}{2}g\cdot t^2
Solo hay que sustituir los tiempos en las ecuaciones. En el caso de la posición, si no conocemos la posición inicial, es decir, la altura desde la que se soltó la pelota, no podemos determinar la posición exacta. También se puede tomar la referencia en el lugar desde el que se deja caer la pelota, en cuyo caso no es necesario tomar en cuenta el valor de la posición inicial.
Velocidades:

v_2 = 19,6\ m/s

v_4 = 39,2\ m/s

v_6 = 58,8\ m/s


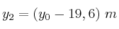
Posiciones:

y_2 = (y_0 -19,6)\ m

y_4 = (y_0 - 78,4)\ m

y_6 = (y_0 -176,4)\ m