Velocidad y posición de un objeto lanzado hacia arriba

, por F_y_Q

Se lanza un objeto verticalmente hacia arriba con una velocidad inicial de 60 m/s. ¿Qué velocidad y qué altura alcanza el objeto al cabo de 4 s, 6 s y 9 s?

P.-S.

Al ser un lanzamiento vertical hacia arriba, voy a considerar que la aceleración de la gravedad es 10\ m\cdot s^{-2}. Las ecuaciones para obtener la velocidad y la altura en función del tiempo son:
v = v_0 - gt
h = v_0t - \frac{1}{2}gt^2
Velocidad y posición a los 4 s.

v = 60\frac{m}{s} - 10\frac{m}{s}\cdot 4\ s = \bf 20\frac{m}{s}

h = 60\frac{m}{s}\cdot 4\ s - \frac{10}{2}\frac{m}{s^2}\cdot 4^2\ s^2 = \bf 160\ m


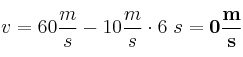
Velocidad y posición a los 6 s.

v = 60\frac{m}{s} - 10\frac{m}{s}\cdot 6\ s = \bf 0\frac{m}{s}

h = 60\frac{m}{s}\cdot 6\ s - \frac{10}{2}\frac{m}{s^2}\cdot 6^2\ s^2 = \bf 180\ m

(Es importante destacar que a los seis segundos estamos en el punto de máxima altura porque la velocidad es nula en ese instante, es decir, ha dejado de ascender).

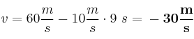
Velocidad y posición a los 9 s.

v = 60\frac{m}{s} - 10\frac{m}{s}\cdot 9\ s = \bf -30\frac{m}{s}

h = 60\frac{m}{s}\cdot 9\ s - \frac{10}{2}\frac{m}{s^2}\cdot 9^2\ s^2 = \bf 135\ m

(El objeto está descendiendo, por eso su velocidad es negativa, y su altura es menor que la anterior).