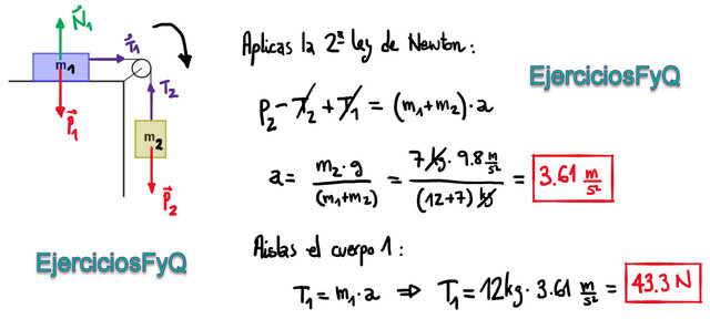
Aceleración y tensión en la cuerda que une dos cuerpos (254)
En el sistema de la figura no hay rozamiento y las masas de los cuerpos son y
. Dibuja todas las fuerzas presentes en el sistema y calcula la aceleración con la que se mueve y la tensión de la cuerda
