Ampliación: composición de movimientos y conservación del momento lineal y energía mecánica (7441)
En la figura se aprecia un proyectil de masa m = 0.6 kg que se lanza desde el suelo con una rapidez inicial y un ángulo
con respecto a la horizontal. El proyectil impacta a un cuerpo de masa M = 0.2 kg colgado en una cuerda justo en el instante en que alcanza su máxima altura. El choque entre el proyectil y el cuerpo es plástico, y ambos cuerpos pegados se elevan lateralmente hasta detenerse.
a) Determina la distancia D entre la posición de lanzamiento del proyectil y la posición horizontal del cuerpo.
b) Determina la velocidad de los dos cuerpos pegados inmediatamente después del choque.
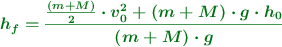
c) Determina la máxima altura con respecto al suelo que alcanzan los dos cuerpos pegados después del choque.
