Ampliación: hora a la que se encuentran dos trenes de cremallera (7346)

, por F_y_Q

Un tren de cremalleras parte desde un punto A, al nivel del suelo, hacia un punto B ubicado a 2 100 m de altura. El ángulo formado por la trayectoria de A hacia B y el nivel del suelo es de 45 ^o . El tren sale de A a las 15:00 h a una velocidad constante de 5\ \textstyle{km\over h} . De B sale otro tren 17 minutos después, cruzándose con el anterior a una altura sobre el nivel del suelo de 1 500 m. Determina la hora a la que se cruzan ambos trenes.

P.-S.

La clave de este ejercicio está en calcular la distancia que ha recorrido el tren que sale de A cuando se cruza con el tren que sale más tarde de B. Como la altura a la que se encuentran es 1 500 m sobre el nivel del suelo, la distancia recorrida por el tren de A es:

d = \frac{h}{sen\ 45^o} = \frac{1.5\ km}{sen\ 45^o} = \color[RGB]{0,112,192}{\bf 2.1\ km}

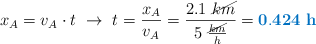
El tren se mueve con velocidad constante por lo que sigue la ecuación del MRU:

x_A = v_A\cdot t\ \to\ t = \frac{x_A}{v_A} = \frac{2.1\ \cancel{km}}{5\ \frac{\cancel{km}}{h}} = \color[RGB]{0,112,192}{\bf 0.424\ h}

Conviertes el tiempo obtenido a minutos:

0.424\ \cancel{h}\cdot \frac{60\ min}{1\ \cancel{h}} = \color[RGB]{0,112,192}{\bf 25.4\ min}

La hora a la que se encuentran ambos trenes será \fbox{\color[RGB]{192,0,0}{\bf 15:25\ h}}


Descarga el enunciado y la resolución del problema en formato EDICO si lo necesitas.