Ampliación: masa de un vehículo a partir de la presión y área de sus neumáticos

, por F_y_Q

Calcula la masa de un vehículo, expresada en kg, si cada una de sus llantas contacta con un área de 200\ cm^2 y una presión manométrica de 28\ \textstyle{lbf\over in^2}.

Datos: 1\ cm^2 = 0,155\ in^2 ; 1\ lbf = 4,45\ N

P.-S.

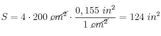
Como son cuatro las ruedas que están en contacto con el suelo, la superficie total sobre la que apoya, expresada en in^2 es:
S = 4\cdot 200\ \cancel{cm^2}\cdot \frac{0,155\ in^2}{1\ \cancel{cm^2}} = 124\ in^2
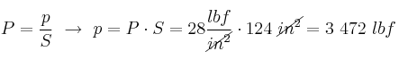
La presión es el cociente entre el peso del vehículo y la superficie que hemos calculado. Despejamos el valor del peso y calculamos:
P = \frac{p}{S}\ \to\ p = P\cdot S = 28\frac{lbf}{\cancel{in^2}}\cdot 124\ \cancel{in^2} = 3\ 472\ lbf
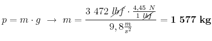
El peso es el producto de la masa por la aceleración de la gravedad. Despejamos el valor de la masa, haciendo la conversión a unidad SI:

p  = m\cdot g\ \to\ m = \frac{3\ 472\ \cancel{lbf}\cdot \frac{4,45\ N}{1\ \cancel{lbf}}}{9,8\frac{m}{s^2}} = \bf 1\ 577\ kg