Análisis de movimientos distintos MRU y MRUA 0001

, por F_y_Q

Un vehículo A está a una distancia de 20 km de un vehículo B. Los dos parten al mismo tiempo en un mismo sentido. Si el vehículo A parte del reposo y viaja con aceleración de 2 m/s^2 y el vehículo B viaja a una velocidad constante de 15 m/s, ¿cuántos kilómetros debe recorrer A para alcanzar a B?

P.-S.

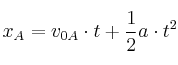
Suponemos que A está en el origen y que B está 20 000 m por delante. Las ecuaciones de la posición de uno y otro vehículo será:

x_A = v_{0A}\cdot t + \frac{1}{2} a\cdot t^2


x_B = x_{0B} + v_B\cdot t


Ambos vehículos comienzan su marcha al mismo tiempo, por eso sus tiempos son iguales a "t". Se encontrarán cuando sus posiciones sean iguales, por lo que igualamos las ecuaciones anteriores, teniendo en cuenta los valores de cada variable:

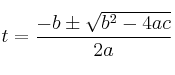
\frac{1}{2} a\cdot t^2 = x_{0B} + v_B\cdot t\ \to\ t^2 - 15t - 2\cdot 10^4 = 0


Al resolver la ecuación de segundo grado obtenemos dos soluciones matemáticas pero sólo una de ellas tiene sentido físico, la positiva: t = 149,12 s.
Para calcular la distancia que debe recorrer A nos vamos a la primera ecuación y sustituimos:

x_A = \frac{1}{2}\cdot 2\frac{m}{s^2}\cdot 149,12^2\ s^2 = 22\ 236\ m


Expresado en kilómetros serán 22,24 km.